Acoustique M1

Acoustique partie B-1

Support de cours

Acoustique partie B-1

Application 1 Sujet

Acoustique partie B-1

Application 1 Solution

Acoustique partie B-2

Support de cours

Acoustique partie B-2

Expérience

Acoustique partie B-2

Application sujet

Acoustique partie B-2

Application sujet

Acoustique partie B-2

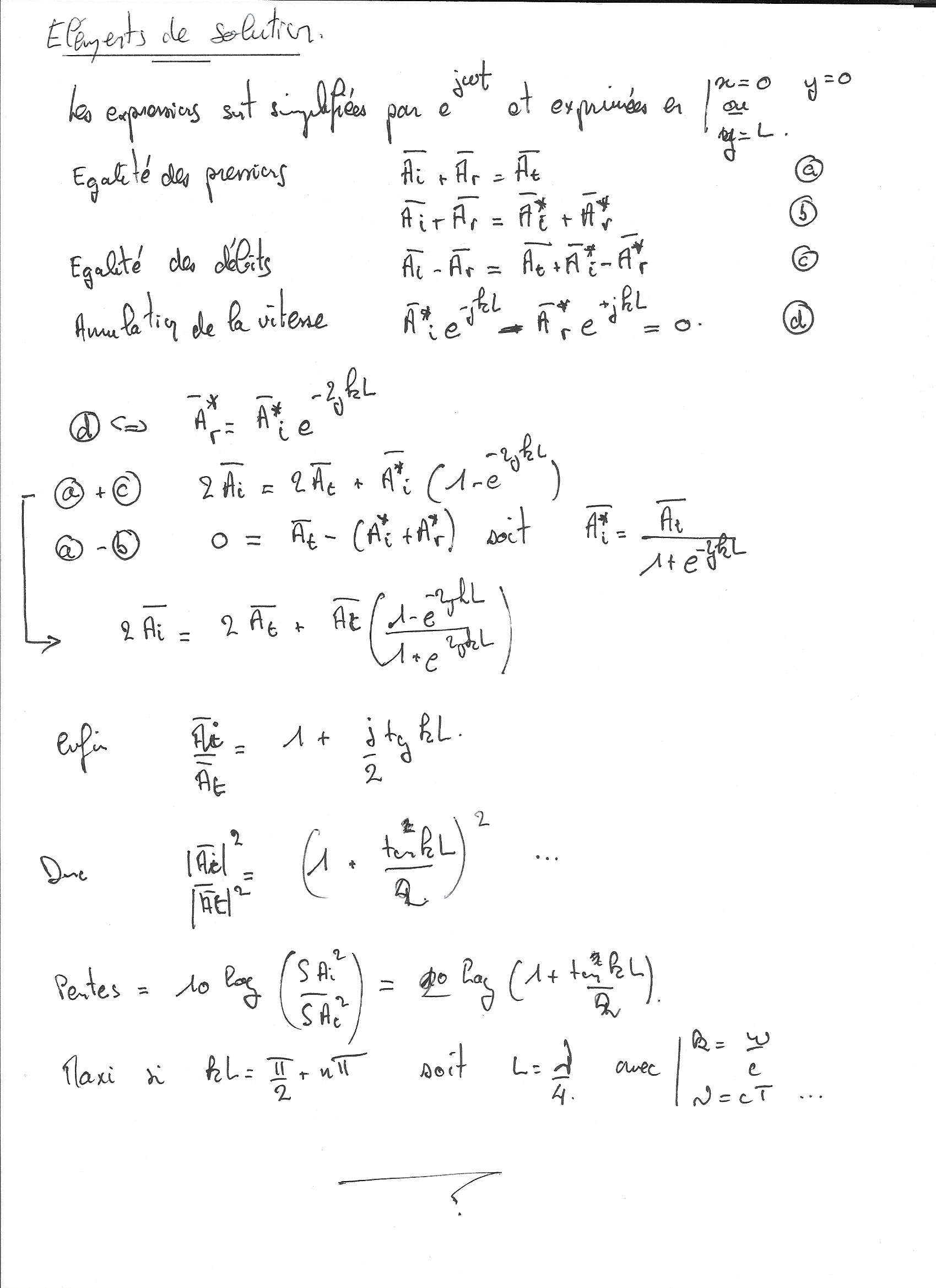
Application corrigé

Acoustique partie B-2

Application corrigé

Annales

Acoustique partie B

Examen 2020 - Sujet

Acoustique partie B

Examen 2021 - Sujet

Acoustique partie B

Examen 2020 Solution

Acoustique partie B

Examen 2021 - Solution

Travaux pratiques

Acoustique

& Vibrations

Sujet TP

2021-2022

Examen TP

Annale 2020 - sujet