Physique Newtonienne 1et 2

PN1 Séance 1

Point en translation

A réviser pour médian

PN séance 1

Application 1 sujet

PN séance 1

Application 1 solution

PN séance 1

Application 2 sujet

PN séance 1

Application 2 solution

PN séance 1

Application 3 sujet

PN séance 1

Application 3 solution

PN séance 1

Application 4 sujet

PN séance 1

Application 4 solution

PN1 Séance 2

Point en rotation

A réviser pour médian

PN séance 2

Application 1 sujet

PN séance 2

Application 1 solution

PN séance 2

Application 2 sujet

PN séance 2

Application 2 solution

PN séance 2

Application 3 sujet

PN séance 2

Application 3 solution

PN séance 2

Application 6 sujet

PN séance 2

Application 6 solution

PN1 Séance 3

Quantité de vitesse

A réviser pour médian

PN séance 3

Application 1 sujet

PN séance 3

Application 1 solution

PN séance 3

Application 2 sujet

PN séance 3

Application 2 solution

PN séance 3

Application 3 sujet

PN séance 3

Application 3 solution

PN séance 3

Application 4 sujet

PN séance 3

Application 4 solution

PN séance 3

Application 5 sujet

PN séance 3

Application 5 solution

PN1 Séance 4

Quantité d'accélération

A réviser pour médian

PN séance 4

Application 1 sujet

PN séance 4

Application 1 solution

PN séance 4

Application 2 sujet

PN séance 4

Application 2 solution

PN séance 4

Application 3 sujet

PN séance 4

Application 3 solution

PN1 Séance 5

Energétique

A réviser pour final

PN séance 5

Application 1 sujet

PN séance 5

Application 1 solution

PN séance 5

Application 3 sujet

PN séance 5

Application 3 solution

PN1

Examen médian

Sujet d'examen 2025 à venir

PN2 Séances 

6 et 7

Relation de Bour et Champ des vitesses

A réviser pour final

PN séance 6

Application 1 sujet

PN séance 6

Application 1 solution à venir

PN séance 6

Application 2 sujet

PN séance 6

Application 2 solution

PN séance 7

Application 1 sujet

PN séance 7

Application 1 solution

PN séance 7

Application 2 sujet

PN séance 7

Application 2 solution

PN séance 7

Application 3 sujet

PN séance 7

Application 3 solution

PN séance 7

Application 4 sujet

PN séance 7

Application 4 solution

PN2 Séance 8

Composition des vitesses

A réviser pour final

PN séance 8

Application 2 sujet

PN séance 8

Application 2 solution à venir

PN séance 8

Application 1 sujet

PN séance 8

Application 1 solution à venir

PN séance 8

Application 1 sujet

PN séance 8

Application 1 solution

PN séance 8

Application 3 sujet

PN séance 8

Application 3 solution

PN2 Séance 9

Cas particulier des solides en rotation autour d'un axe fixe

A réviser pour final

PN séance 9

Application 1 sujet

PN séance 9

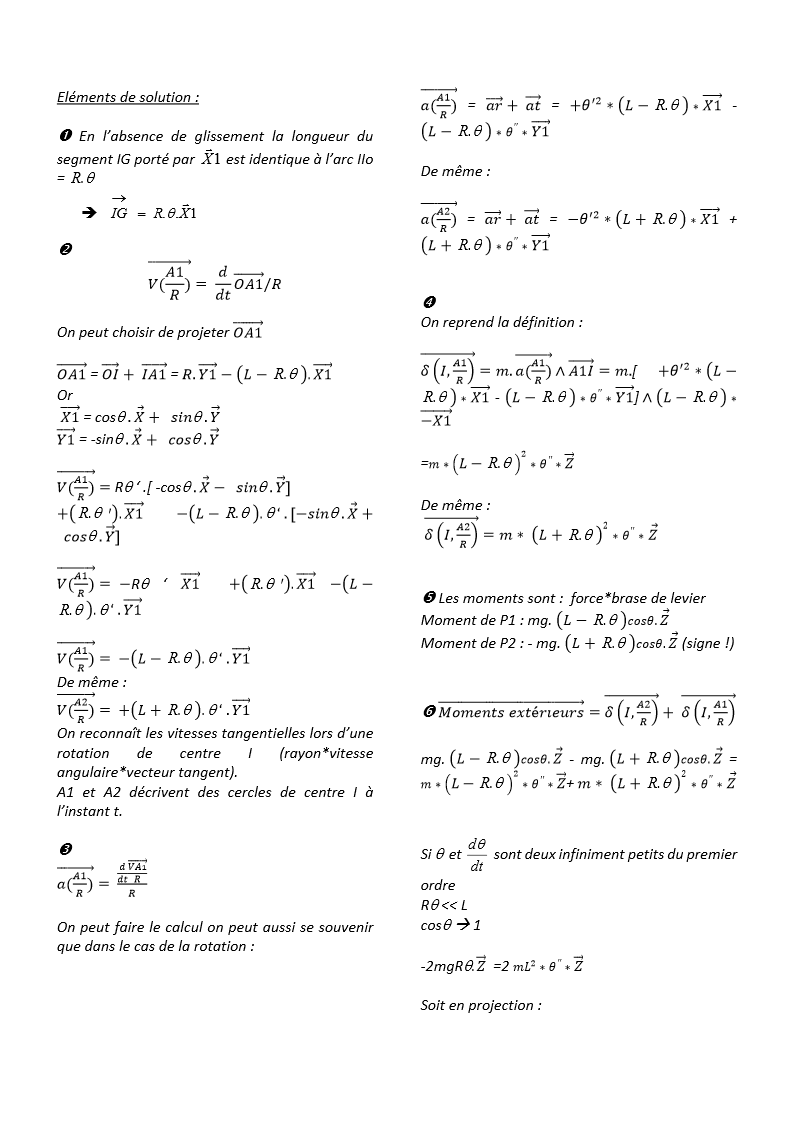
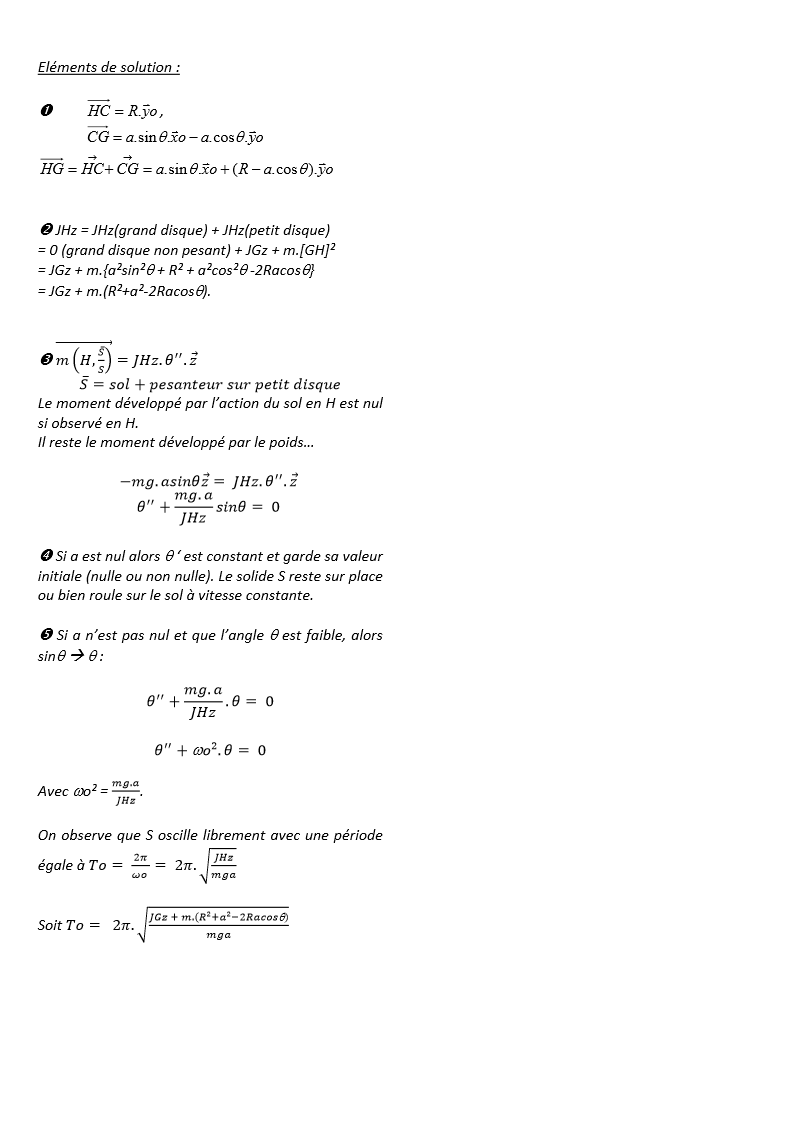
Application 1 solution

PN séance 9

Application 2 sujet

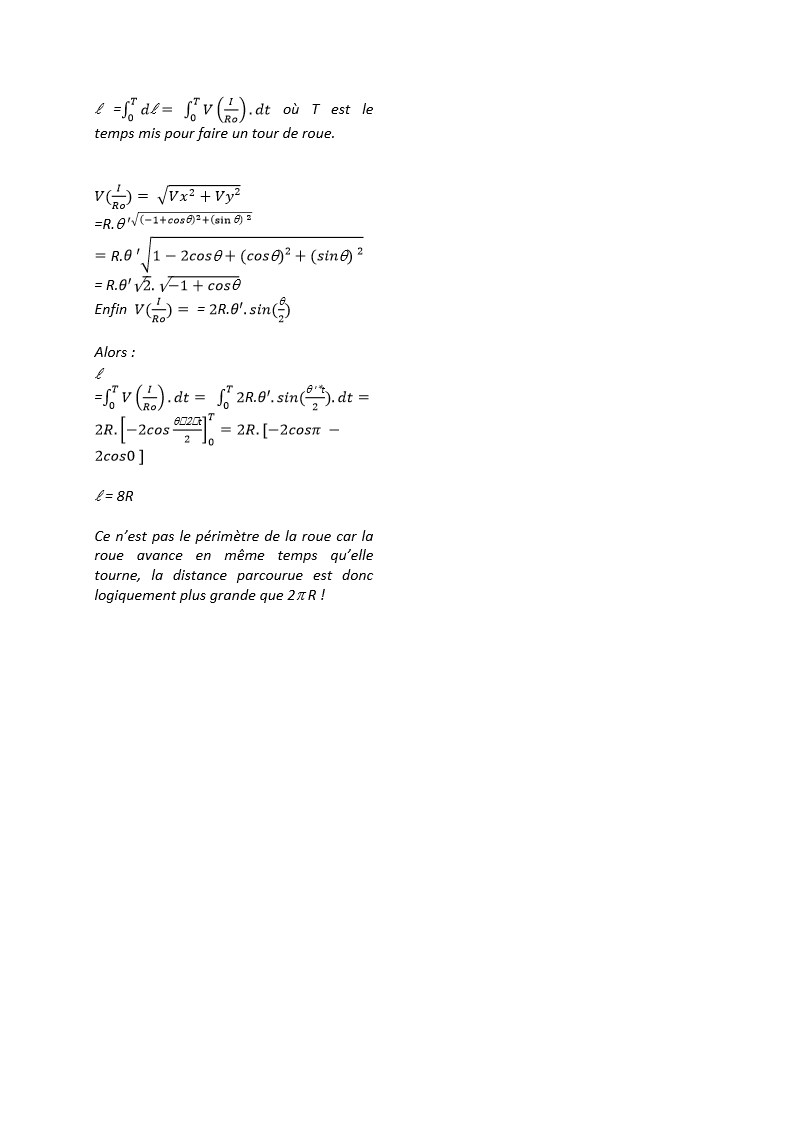
PN séance 9

Application 2 solution à venir

Examen Final

Sujet d'examen mai 2021

Final

Solution EX2 a

Final

Solution EX2 b

Examen Final

Sujet d'examen mai 2022

Examen Final

Sujet d'examen mai 2023

Final

Solution EX1

 

 

 

 

 

 

 

 Travaux pratiques

Ressources TP

TP**

 

TP5

Données et carte